
¡Hola!
La química orgánica es la rama de la química que estudia las moléculas que contienen, sobre todo, Carbono, C,Hidrógeno, H, Oxígeno, O, y Nitrógeno, N, y en menor proporción por Fósforo (P), azufre (S), Halógenos (F, Cl, Br, I) y algunos metales. En estos compuestos, el carbono forma enlaces de tipo covalente, ya que la diferencia de electronegatividad con los otros elementos es pequeña. Los compuestos orgánicos se pueden dividir en: hidrocarburos, compuestos oxigenados, compuesto nitrogenados y compuestos con más de una función.
Existen tres formas de representar estas moléculas:
Fórmula molecular: Indica el número de átomos de cada elemento que están formando la molécula.
C2H6
Fórmula semidesarrollada: Se representan los enlaces entre los átomos de carbono. Para resaltar los grupos funcionales que aparecen en la molécula.

Fórmula desarrollada: Se representan todos los enlaces.

En este post nos vamos a centrar en cómo formular y nombrar los hidrocarburos de cadena abierta. Estos son compuestos orgánicos formados por Carbono, Hidrógeno y, en menor proporción, halógenos (F, Cl, Br, I) y se pueden clasificar en los siguientes tipos:
Hidrocarburos saturados: Alcanos
Los átomos de carbono están unidos enlaces simples. Se nombran con un prefijo que hace referencia al número de átomos de carbono en la molécula y añadiendo el sufijo -ANO:
Prefijos según el número de átomos de C en una molécula:
1: Met- /2: Et- /3: Prop- /4: But- /5: Pent- /6: Hex- /7: Hept- /8: Oct- /9: Non- /10: Dec-/ 11: Undec- /12: Dodec-
La fórmula molecular de un alcano es Cn H2n+2
Ejemplos.
CH4 : Metano; C2H6: Etano; C3H8: propano; C4H10: butano; C5H12: pentano
En fórmula semidesarrollada:
Metano: CH4
Etano: CH3-CH3
Propano: CH3-CH2-CH3
Butano: CH3-CH2-CH2-CH3
Pentano: CH3-CH2-CH2-CH2-CH3
Radicales alquílicos
Cuando un átomo de C de un hidrocarburo no forma sus cuatro enlaces, quedando con un electrón sin enlazar, se origina un radical. Ejemplo: CH3-CH2–
Los radicales son muy reactivos, y tienden a unirse a cadenas de carbono sustituyendo a un H.
¿Cómo se nombran? Igual que los alcanos pero con el sufijo –il o (–ilo)
– CH3 metil
– CH2 CH3 etil
– CH2 CH2 CH3 propil
– CH2 CH2 CH2 CH3 butil
– CH2 CH2 CH2 CH2-CH3 pentil
Los hidrocarburos ramificados se nombran siguiendo los siguientes pasos y reglas:
- Se identifica la cadena principal:
- La que tiene mayor número de átomos de C y las cadenas laterales más pequeñas.
- Si tienen el mismo número de átomos de C, la cadena principal será la de mayor número de ramificaciones.
- La cadena con cadenas laterales con localizadores más bajos.
- La cadena que tenga cadenas laterales lo menos ramificadas posibles.
2. Enumeración de los carbonos de la cadena principal:
- se comienza por un extremo, dejando a los C con radicales con los números más bajos.
- Si por ambos lados los localizadores tuvieran el mismo valor, se empieza a numerar los carbones siguiendo el orden alfabético de los radicales (butil-, etil-,pentil-, propil-)
3. ¿Cómo se nombran las ramificaciones o cadenas laterales?
- Los radicales se nombran por orden alfabético. Se indica con número la posición de cada radical en la cadena seguido del nombre del radical sin terminar en o.
- Si hay varias cadenas laterales iguales: se indica con los prefijos di,tri,tetra, etc. Sin tener en cuenta el orden alfabético.
- Los números se separan con comas y de las letras mediante guiones.
- A continuación, se nombra la cadena principal (pentano, hexano, heptano…)
Una cadena lateral con radical: se comienza la enumeración por los átomos de C más cercanos al punto de unión con la cadena principal. El radical se pone entre paréntesis.

4-(2-metil)pentilheptano
Radicales con nombre propio: isopropil, isobutil, terc-butil y vinil o etenil.
Ejemplos:
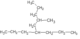
- Nombra el hidrocarburo que se muestra en fórmula desarrollada.

Identificamos la cadena principal: Es la que se muestra en rojo porque es la que tiene más C.

Enumeración de C: Se comienza a enumerar por la derecha porque así los radicales están en posiciones con números más bajos.
Nombrar radicales: 5-isopropil-3-metil-
Nombrar la cadena principal:octano
solución: 5-isopropil-3-metil-octano
2. Formula el compuesto 2- butil- 3,4- dietil-hexano
Se escribe los carbones de la cadena principal y la numeramos comenzando por cualquier extremo.
C-C-C-C-C-C
Se dibujan los radicales en las posiciones correspondientes y se completa con H las valencias de los átomos de C.

Hidrocarburos insaturados
Alqueno
Estos compuestos poseen,al menos, un enlace doble C=C.
Cadena principal:
- La que contiene los enlaces dobles, aunque haya otra más larga.
- Si hay más de uno enlace doble, la que más enlaces dobles contenga.
- Si hay dos cadenas con el mismo número de enlaces dobles, la que sea más larga.
Enumeración:
- por el extremo de forma que el enlace doble tenga el número más bajo posible.
- Si por ambos lados los enlaces dobles tienen la misma posición, entonces se comienza por extremo que le de a las ramificaciones las posiciones más bajas.
Cómo se nombra:
- Si el compuesto tiene radicales, se nombran en primer lugar los radicales. Las reglas son las mismas que para los alcanos.
- A continuación se nombra la cadena principal (et, prop, but, etc)
- se indica la posición de los enlaces dobles, el número de enlaces dobles mediante los prefijos di, tri, tetra, etc. y, a continuación, se incluye la terminación -eno.
Ejemplos:
Nombra el siguiente compuesto:

Elegimos la cadena principal: la que contiene los enlaces dobles. Se enumera de izquierda a derecha (el C 1 es el de la izquierda), ya que, de esta forma, los enlaces dobles tienen posiciones menores.
Nombrar la cadena principal: hepta-1,3,5-trieno
Nombrar los radicales: 5-isopropil-3,6-dimetil-
solución: 5-isopropil-3,6-dimetilhepta-1,3,5-trieno
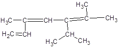
Formula el siguiente compuesto: 6– Butil–6–(1–etil–1–metil)butil–4,5,9–trimetildodeca- 3,7- dieno
se dibuja la cadena principal de C:
C-C-C-C-C-C-C-C-C-C-C-C
Se dibujan los radicales en las posiciones correspondientes y los dobles enlaces (la enumeración de los carbones se comienza por el extremo que quieras)
Se completa con H las valencias de los átomos de C

Alquino
Son hidrocarburos con, al menos, un triple enlace carbono carbono. El sufijo que les corresponde es -ino.
Si el compuesto sólo tiene enlaces simples y triples, las reglas para nombrarlo son las mismas que en los alquenos, pero con la terminación -ino.

Etino o acetileno

6-etilhepta-2,4-diino
Si en el compuesto hay enlaces dobles y triples:
La cadena principal es:
- aquella que contiene mayor número de enlaces múltiples (insaturaciones).
- Si dos cadenas tienen el mismo número de enlaces múltiple, la principal será la que tiene más átomos de C (la más larga)
- Si tiene el mismo número de enlaces múltiples y mismo número de C, la cadena principal será la que tiene mayor número de dobles enlaces.
Enumeración de los carbones:
- Se numera de tal forma que los enlaces múltiples estén en las posiciones más bajas, sin importar si son dobles o triples.
- En el caso que coincidan los localizadores del enlace doble y el triple, se enumera de tal forma que el enlace doble tenga la posición menor (se da preferencia al doble frente al triple). Ver el ejemplo siguiente.

Pent-1-en-4-ino
Para nombrar:
- Primero se nombran las cadenas laterales indicando la posición de cada una
- a continuación, la cadena principal
- se indica la posición de los dobles enlaces, los prefijos di,tri, tetra, etc (si son necesarios) y la terminación -en
- se indica la posición de los triples enlaces, los prefijos di,tri, tetra, etc (si son necesarios) y la terminación -ino
Los radicales con dobles o triples enlaces, se nombran con los sufijos enil o enilo e Inil o inilo, respectivamente.
CH2=CH- etenil o etenilo (vinil o vinilo)
CH3 – CH = CH – 1-propenilo
CH≡C – etinil o etinilo
CH≡C – CH2 – 2-propinilo
Derivados halogenados de los hidrocarburos lineales (Haluros o halogenuros)
Por último, vamos a estudiar los derivados halogenados de los hidrocarburos lineales. Estos son hidrocarburos en los que uno o varios H se ha sustituido por halógenos. (F, Cl, Br, I).
Cadena principal:
- Se toman los halógenos como si fueran radicales alquílicos.
- Se siguen las reglas de los hidrocarburos ramificados explicadas anteriormente.
Enumeración:
- se enumeran los C de tal forma que los halógenos tengan los localizadores más bajos.
- Si hay dobles y/o triples enlaces, se da preferencia a los enlaces múltiples.
- Pero si se trata de un hidrocarburo ramificado, los halógenos tienen la misma prioridad que los radicales alquílicos y, por lo tanto, se numera por el extremo que los sustituyentes o cadenas laterales (independientemente de que sean radicales alquílicos o halógenos) queden con los localizadores más bajos.
Nombrar:
- Anteponiendo la posición y el nombre del halógeno o halógenos al nombre del hidrocarburo correspondiente.
- Si hay varios halógenos se emplean los prefijos di, tri, tetra, etc y se nombran en orden alfabético. Para nombrar el hidrocarburo se siguen las reglas vistas anteriormente.
- Si hay varios sustituyentes (radicales alquílicos y halógenos), se sigue la norma de nombrar los sustituyentes por orden alfabético.
Los prefijos utilizados para nombrar a los halógenos son: FLUORO, CLORO, BROMO, YODO.
Si solo haya un átomo de halógeno, también se puede nombrar como haluro de …
Si se sustituyen todos los hidrógenos por halógenos, se nombran con el prefijo PER-.
CF3–CF2–CF3 Perfluoruro-propano
Ejemplos y haluros conocidos:
CH3 -CH Br-CH2 -CH3 2-bromobutano
CH2 Cl -CH2 -CH Cl -CH=CH2 3,5-dicloropent-1-eno
CH3Cl Cloruro de metilo o cloroformo
Ejercicios resueltos
a)CH3-CHCl-CHCl -CH3
2,3-dicloro-butano
b)CH2 Br- CH2 Br
1,2-dibromo-etano
c)

Metil-2-fluoro-propano
d)

7-etil-4-isopropil-2-metiloct-2-en-5-ino
e)

5-etil-8-pentil-3-propildec-7-en-1-ino
f)

6-bromo-3-clorohepta-1,4-dieno
g)

2,4-dimetil-7-isopropildeca-1,5-dien-8-ino
Espero que te haya servido la explicación.
¡Mucho ánimo y hasta el próximo domingo!




gracias
Me gustaLe gusta a 1 persona