¡Feliz martes!
Espero que estés muy bien y que hayas empezado la semana con buen pie. Como has podido comprobar, a partir de ahora las explicaciones en vídeo y en texto las publicaré los martes.
En esta clase vamos a estudiar la formulación de los compuestos:
Y al final del artículo, tienes un ejercicio resuelto para que practiques.
A continuación tienes una tabla con el grupo funcional característico y un ejemplo de cada uno de ellos:
| Familia | Grupo funcional | Ejemplo | Nombre |
| Aldehído | ![]() | ![]() | Propanal |
| Cetona | ![]() | ![]() | Propanona o acetona |
| Éter | ![]() | Metil tertbutil éter |
Aldehídos
Son compuestos que contienen el grupo funcional
Donde R indica un radical, es decir, una cadena hidrocarbonada abierta o cerrada.
Este grupo funcional (-CHO) siempre se encontrará en el extremo del compuesto.
Nombrar aldehídos (si es el único tipo de grupo funcional, terminación -al)
- Si es un alcano sin ramificar con uno o dos grupos aldehídos: Se nombra la cadena hidrocarbonada (butan)+prefijo del número de grupos, di (si es necesario)+ -al

Butanal
- Si es un cicloalcano con uno o varios grupos aldehído: Se indica la posición de los grupos aldehido+ Se nombra el ciclo (ciclohexano)+prefijo del número de grupos, di (si es necesario)+ -al

1,4-ciclohexanodial
- Si es una cadena hidrocarbonada ramificada con enlaces múltiples, radicales y uno o varios grupos aldehídos:

1)La cadena principal es la que contiene los grupos aldehídos.
2)El Carbono 1 será un carbono que tenga el grupo aldehído. En los casos en los hay grupos aldehídos(uno en cada extremo), dobles enlaces, triples enlaces y radicales el orden de preferencia a la hora de enumerar los C (de mayor a menor) es: grupo aldehído>doble enlace>triple enlace>radical alquílico o halógeno(por orden alfabético). Este orden de preferencia es el mismo que en los hidrocarburos ramificados (Ver la explicación en vídeo y en texto sobre los Hidrocarburos de cadena abierta).
En este caso, el carbono 1 será el de la izquierda porque así el doble enlace tiene un localizador más pequeño.
3)Para nombrar: Posición de los radicales y sus nombres por orden alfabético (4-cloro-7-metil)+cadena de carbonos (non)+posición de dobles enlaces(6-)+(prefijo di,tri,tetra si es necesario)en+ posición de triples enlaces(2-)+(prefijo di,tri,tetra si es necesario)in+sufijo -al–> 4-cloro-7-metilnon-6-en-2-inal
- Si es una hidrocarburo de cadena cerrada con enlaces múltiples y uno o varios grupos aldehídos:

1)Carbono 1 el que tiene el grupo aldehído.
2) nombrar: posición de dobles enlaces+nombre del hidrocarburo de cadena cerrada+ (di,tri,tetra…)en+posición de los grupos aldehídos (si hay más de uno)+(di,tri,tetra…)al
(1,4)-ciclopentadienal
- Hidrocarburo aromático con uno o varios grupos aldehídos:

Pero cuando tiene más de un grupo aldehído: se indica la posición de los grupo+benceno+(di,tri,tetra…)+carbaldehído

Formular aldehídos:
7-etildec-8-en-5-inal
1)dibuja la cadena carbonada y el grupo aldehído
2)posiciona los enlaces múltiples y el radical
3)completa con hidrógenos

En esta tabla se muestran los nombres de dos aldehídos según la IUPAC y los nombres comunes con los que se suelen nombrar:
| Fórmula | Nombre IUPAC | Nombre común |
| HCHO | Metanal | Formaldehído |
| CH3CHO | Etanal | Acetaldehído |
Cetonas
Son compuestos con el grupo funcional
Donde R y R’ son radicales, es decir, cadenas hidrocarbonadas abiertas o cerradas.
Nombrar cetonas(si es el único tipo de grupo funcional, terminación -ona)
- Si es un alcano sin ramificar con uno o dos grupos cetonas: Posición de los grupos carbonilos C=O , si es necesario (2,4) + cadena hidrocarbonada (hexan)+prefijo del número de grupos, (di,tri,tetra…)+ -ona

Se numeran los carbonos de tal forma que los grupos cetonas tengan los localizadores más bajos.
También se puede nombrar empleando la palabra cetona y los radicales a ambos lados del grupo carbonilo C=O.

- Si es un cicloalcano con uno o varios grupos cetonas: Se indica la posición de los grupos carbonilos C=O+ Se nombra el ciclo (ciclohexano)+(di,tri,tetra…)+ -ona

- Si es una cadena hidrocarbonada ramificada con enlaces múltiples, radicales y uno o varios grupos carbonilos C=O:

1)La cadena principal es la que contiene los grupos carbonilos.
2) Se enumera de tal forma que el grupo carbonilo tenga el localizador más bajo posible. Pero en el caso que tenga la misma posición cuando empiezas a enumerar por un extremo y por otro, entonces hay que tener en cuenta que a la hora de enumerar los carbonos que el orden de preferencia de mayor a menor es: doble enlace>triple enlace>radical alquílico o halógeno(por orden alfabético). Este orden de preferencia es el mismo que en los hidrocarburos ramificados (Ver la explicación en vídeo y en texto sobre los Hidrocarburos de cadena abierta). Es decir, el orden de preferencia a la hora de enumerar los C (de mayor a menor) es: grupo carbonilo (cetona)>doble enlace>triple enlace>radical alquílico o halógeno(por orden alfabético).
En este caso, el carbono 1 será el de la izquierda porque así el triple enlace tiene un localizador más pequeño.
3)Para nombrar: Posición de los radicales y sus nombres por orden alfabético +cadena de carbonos (hepta)+posición de dobles enlaces+(prefijo di,tri,tetra si es necesario)en+ posicion de los triples enlaces+ (di,tri,tetra…)in –> 2-heptin-4-ona
- Si es una hidrocarburo de cadena cerrada con enlaces múltiples y uno o varios grupos ccarbonilos:

1)El localizador más bajo para los grupos carbonilos.
2) nombrar: posición de dobles enlaces+nombre del hidrocarburo de cadena cerrada+ (di,tri,tetra…)en+posición de los grupos cetonas (si hay más de uno)+(di,tri,tetra…)ona o
4-ciclopenten-(1,3)-diona
- Cetonas aromáticas con uno o varios grupos carbonilos:




Los derivados del benceno se nombrar los radicales a ambos lados del grupo carbonilo seguido por el sufijo cetona.
Formular Cetonas:
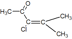
3-cloro-4-metilpent-3-en-2-ona
1)dibuja la cadena carbonada y el grupo carbonillo
2)posiciona los enlaces múltiples y los radicales
3)completa con hidrógenos

Éteres
Son compuestos que tienen un átomo de O al que se le unen dos radicales: ![]()
¿Cómo se nombran? se nombran los radicales por orden alfabético y a continuación la palabra éter.


Otra forma de nombrar los éteres: Se nombran interponiendo la partícula «-oxi-» entre los dos radicales. Se escribe el nombre del radical más sencillo +-oxi-+ hidrocarburo correspondiente al radical más complejo.


Si hay ramificaciones y enlaces múltiples:

1)La cadena principal es la que contiene el grupo éter.
2) Los C 1 de los radicales son los que están unidos al O.
3)Para nombrar: (3-metil)butil 2-propenil éter
Para nombrar los radicales se sigue las reglas que se indican para los hidrocarburos ramificados con enlaces múltiples (Ver la explicación en vídeo y en texto sobre los Hidrocarburos de cadena abierta)
Formular éteres:
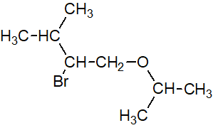
metil (2-cloro-3-metil)pentil éter
1)Escribimos el oxígeno del grupo éter: -O-
2)Escribimos los carbones de cada radical: C-C-C-C-C-O-C
3)Incluimos los radicales y dobles enlaces de los radicales, teniendo en cuenta que el carbono 1 es el que está pegado al O.
4) Completamos con H( cada carbono tiene que tener 4 enlaces).

Ejercicio resuelto
1)

2)

3)

4)

5)

6)

7)

Espero que te haya servido la explicación.
¡Mucho ánimo y hasta el próximo martes!


