¡Feliz martes!
En la clase de hoy vamos a comenzar a ver el ajuste de las reacciones de oxidación-reducción (reacciones redox) mediante el método de ión-electrón. Los puntos que vamos a tratar son los siguientes:
- Estado de oxidación
- Conceptos de oxidación y reducción
- Ajuste de las reacciones de redox por el método de ión-electrón
Estado de oxidación(EO)
Se entiende por estado o número de oxidación a la carga que tendría un átomo si todos sus enlaces fueran iónicos, o si se asignasen los electrones (en un enlace covalente) al átomo más electronegativo.
Principales estados de oxidación.
- Moléculas en las que sólo hay un tipo de átomo tienen EO 0.
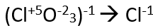
- El oxígeno (O) en óxidos, ácidos y sales oxácidas tiene EO –2.
- El hidrógeno (H) tiene EO –1 en los hidruros metálicos y +1 en el resto de los casos.
- Los metales formando parte de moléculas tienen E.O. positivos y en estado metálico tienen EO 0.
¿Cómo podemos averiguar el estado de oxidación de cada átomo dentro de una molécula o ión?
Tenemos que saber que la suma de los EO de los átomos en una molécula neutra siempre es 0 y en un ión corresponde a la carga del ión.
Ejemplo:
Averigua con que EO está acuando cada átomo de los siguientes compuestos:
H2SO4: suma de todos los EO=0
2(nº hidrógenos) ·1(EO del hidrógeno)+1(nº de S)·x(EO del S)+(-2)(EO de O)·4 (nº de O)=0; 2+x-8=0; x=8-2=6
Conceptos de oxidación y reducción
Oxidación: se refiere al proceso en el una sustancia (agente reductor) pierde electrones. El EO del agente reductor aumenta cuando se oxida.
Reducción: se refiere al proceso en el una sustancia (agente oxidante) gana electrones. El EO del agente oxidante disminuye cuando se reduce.
| Proceso | Agente | Electrones | EO |
| Oxidación | Reductor | Pierde | Aumenta |
| Reducción | oxidante | gana | Disminuye |
Lo primero que tenemos que hacer en un problema redox o de oxidación-reducción es:
- escribir la reacción
- escribir el EO de cada tipo de átomo
- identificar el oxidante y el reductor
Ejemplo 1
Cuando introducimos un electrodo de cobre en una disolución de AgNO3, de manera espontánea el cobre se oxida a Cu2+, mientras que, a la vez, la Ag+ de la misma se reduce a plata metálica.
- escribir la reacción
AgNO3 + Cu–> Ag + Cu(NO3)2
- escribir el EO de cada tipo de átomo
Ag+1N+5O-23 + Cu0–> Ag0 + Cu+2(N+5O-23)2
- identificar el oxidante y el reductor
En la reacción: el EO de la plata disminuye y el EO del cobre aumenta. La plata se reduce y el cobre se oxida.
Ejemplo 2
Cuando el Fe2O3 reacciona con monóxido de carbono da lugar a hierro metálico y dióxido de carbono. Identifica el agente oxidante y el agente reductor.
- escribir la reacción
Fe2O3 + CO → Fe + CO2
- escribir el EO de cada tipo de átomo
Fe+32O-23 + C+2O-2 → Fe0 + C+4O-22
- identificar el oxidante y el reductor
En la reacción: el EO del hierro disminuye y el EO el carbono aumenta. El hierro se reduce (oxidante) y el carbono se oxida (reductor).
Ajuste de las reacciones de redox por el método ión-electrón
Se busca la conservación tanto de la masa como de la carga (los electrones que se pierden en la oxidación son los mismos que los que se ganan en la reducción).
Ajuste en medio ácido
En el ajuste de las semirreacciones en medio ácido, los átomos de O se ajustan con agua y los H se ajustan con los protones que provienen del ácido.
Vamos a ver el ajuste en medio ácido con un ejemplo. Tenemos que ajustar la siguiente reacción:

- Se escribe la reacción sin ajustar, los números de oxidación de cada elemento y se identifica la especie que se oxida y la que se reduce.

En esta reacción el Cr se reduce, disminuye su EO, y el S se oxida, aumenta su EO.
2. Escribimos las semirreacciones de las especies que intervienen en la reacción redox. Como se considera en disolución, las especies iónicas como el K2Cr2O7 están disociadas mientras que los compuestos covalentes como el NH3 no.
Semirreacción de oxidación:

Semirreacción de reducción:

3. Ajustamos el número y tipo de átomos en las semirreacciones empleando agua para ajustar el oxígeno y protones para ajustar el hidrógeno.


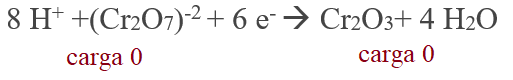
4. Escribimos el número de electrones transferidos en cada reacción (A ambos lados de la reacción (reactivos y productos) tiene que haber la misma carga, se utilizan los electrones para ajustar la carga).


5. Multiplicamos las semirreacciones para que el número de electrones transferidos en una y otra sea el mismo.


6. Sumamos las semirreacciones.

7. Podemos simplificar la reacción dividiendo entre 2.

8. Ya tenemos ajustada la reacción con las especies iónicas. Para ajustarla con los compuestos iniciales, debemos añadir las especies inertes, completamos los compuestos y comprobamos que está ajustada.

¡Ya hemos ajustado la reacción en medio ácido!
Ajuste en medio básico
En el ajuste de las semirreacciones en medio básico, los átomos de O se ajustan con OH– y se emplea agua para ajustar los H.
Vamos a ver el ajuste en medio básico con un ejemplo. Tenemos que ajustar la siguiente reacción redox:

- Se escribe la reacción sin ajustar, los números de oxidación de cada elemento y se identifica la especie que se oxida y la que se reduce.

2. Escribimos las semirreacciones de las especies que intervienen en la reacción redox. Como se considera en disolución, las especies iónicas como el K2Cr2O7 están disociadas mientras que los compuestos covalentes como el NH3 no.
Semirreacción de oxidación:

Semirreacción de reducción:

3. Ajustamos el número y tipo de átomos que intervienen en las semirreacciones, empleando los aniones OH– para ajustar los O y el agua para ajustar los H.

4. Escribimos el número de electrones transferidos en cada reacción (A ambos lados de la reacción (reactivos y productos) tiene que haber la misma carga, se utilizan los electrones para ajustar la carga).

5. Multiplicamos las semirreacciones para que el número de electrones transferidos en una y otra sea el mismo.

6. Sumamos las semirreacciones.

7. Se simplifica si se puede. En este caso no podemos.
8. Ya tenemos ajustada la reacción con las especies iónicas. Para ajustarla con los compuestos iniciales, debemos añadir las especies inertes, completamos los compuestos y comprobamos que está ajustada.

¡Tenemos la reacción ajustada en medio básico!
Espero que te haya servido la explicación.
¡Mucho ánimo y hasta el próximo martes!