¡Feliz martes!
¿Qué tal estás? Espero que con mucho ánimo. Hoy vamos a ver los compuestos orgánicos oxigenados que nos quedan por dar: alcoholes, ácidos carboxílicos y ésteres.
Las secciones del artículo son:
A continuación tienes una tabla con el grupo funcional característico y un ejemplo de cada uno de ellos:
| Familia | Grupo funcional | Ejemplo | Nombre |
| Alcohol | ![]() | 2-propanol | |
| Ácido carboxílico | ![]() | ![]() | ácido propanoico |
| Éster | ![]() | ![]() | propanoato de metilo |
Alcoholes
Tienen una estructura similar a la de los hidrocarburos pero con uno o más hidrógenos sustituidos por grupos «hidroxilo»,OH–.
Este grupo funcional puede ir o no en el extremo. Así, dependiendo del tipo de carbón al que está unido el grupo hidroxilo se distinguen:
- Alcohol primario (unido a un C primario):

- Alcohol secundario (unido a un C secundario):

- Alcohol terciario (unido a un C terciario):

Nombrar alcoholes (si es el único tipo de grupo funcional, terminación -ol)
- Si es un alcano sin ramificar con uno o más grupos hidroxilos: posición de los grupos hidroxilos+ nombre de la cadena hidrocarbonada (butan)+prefijo del número de grupos (di, tri…)+ -ol

2,3-butanodiol
- Si es un cicloalcano con uno o varios grupos hidroxilos: Se indica la posición de los grupos hidroxilos+ Se nombra el ciclo (ciclohexano)+prefijo del número de grupos, di (si es necesario)+ -ol

1,4-ciclohexanodiol
- Si es una cadena hidrocarbonada ramificada con enlaces múltiples, radicales y uno o varios grupos hidroxilos:

1)La cadena principal es la que contiene el mayor número de grupos hidroxilos.
2)Se enumera de tal forma que los grupos hidroxilos tengan los localizadores más bajos posibles. En los casos en que tenemos dudas, hay que tener en cuenta el siguiente orden de preferencia(de mayor a menor) a la hora de enumerar: : grupos hidroxilos>doble enlace>triple enlace>radical alquílico o halógeno(por orden alfabético). Este orden de preferencia es el mismo que en los hidrocarburos ramificados (Ver la explicación en vídeo y en texto sobre los Hidrocarburos de cadena abierta).
En este caso, el carbono 1 será el de la derecha porque así los grupos hidroxilos tienen los localizadores más bajos posibles.
3)Para nombrar: Posición de los radicales y sus nombres por orden alfabético (3-cloro-2-metil)+cadena de carbonos (pent)+posición de dobles enlaces(2,4)+(prefijo di,tri,tetra si es necesario)en+ posición de los grupos hidroxilos(1,4)+di+ol–>3-cloro-2-metilpenta-2,4-dien-1,4-diol
- Si es una hidrocarburo de cadena cerrada con enlaces múltiples y uno o varios grupos hidroxilos:

1)Se enumera de tal forma que los grupos hidroxilos tengan la menor posición posible.
2) nombrar: posición de dobles enlaces+nombre del hidrocarburo de cadena cerrada+ (di,tri,tetra…)en+posición de los grupos hidroxilos (si hay más de uno)+(di,tri,tetra…)oll
ciclopenta-1,3-dien-1,3-diol
- Benceno con grupos hidroxilos: FENOLES

Fenol
Los fenoles se nombran como los alcoholes (ol), aunque también se pueden nombrar
como derivados del benceno, utilizando el prefijo hidroxi, e incluso como derivados del
fenol.

3-cloro-5-metilfenol ó 3-cloro-5-metilhidroxibenceno

1,3-bencenodiol ó 1,3-dihidroxibenceno
Además, en los compuestos aromáticos (con anillos bencénicos) se puede indicar la posición de los radicales con: orto (o), meta(m) y para(p).



Formular alcoholes:
Lo vamos a ver con un ejemplo.
¿Cómo se formula el siguiente compuesto? 2-bromo-3-etilhex-4-in-2-ol
1)dibuja la cadena carbonada.
2)posiciona el grupo alcohol, los dobles, triples enlaces y radicales.
3)completa con hidrógenos

Ácidos carboxílicos
El grupo funcional de los ácidos carboxílicos es:
Donde R es un radical arílico o alquílico, es decir, una cadena carbonada abierta o cerrada.
Este grupo funcional va en el extremo, por lo tanto no necesita localizador (en las cadenas carbonadas abiertas).
Nombrar ácidos carboxílicos (si es el único tipo de grupo funcional: ácido + nombre hidrocarburo -oico).
- Si es un alcano sin ramificar con uno o más grupos carboxilos: nombre de la cadena hidrocarbonada (butan)+prefijo del número de grupos (di, tri…)+ -oico.

ácido butanodioico (o ácido succínico)
- Si es un cicloalcano con uno o varios grupos carboxilos: Cuando el grupo carboxilo se encuentra unido a una estructura cíclica se menciona la palabra ácido+ posición de los grupos carboxílicos+ nombre del ciclo+prefijo que indica el número de grupos+ «carboxílico».

ácido 1,3-ciclohexanodicarboxílico
- Si es una cadena hidrocarbonada ramificada con enlaces múltiples, radicales y uno o varios grupos carboxilos:

1)La cadena principal es la que contiene los grupos carboxilos.
2)Siempre el grupo carboxilo tendrá el localizador 1. Cuando tenemos 2 grupos carboxilos, hay que tener en cuenta el siguiente orden de preferencia(de mayor a menor) a la hora de enumerar: : grupos carboxilos>doble enlace>triple enlace>radical alquílico o halógeno(por orden alfabético). Este orden de preferencia es el mismo que en los hidrocarburos ramificados (Ver la explicación en vídeo y en texto sobre los Hidrocarburos de cadena abierta).
En este caso, el carbono 1 será el de la derecha porque es donde está el grupo carboxilo.
3)Para nombrar: Posición de los radicales y sus nombres por orden alfabético (4-cloro-)+cadena de carbonos (pent)+posición de dobles enlaces(4)+(prefijo di,tri,tetra si es necesario)en+ posición de tripes enlaces(2-)+(prefijo di,tri,tetra si es necesario)in+(prefijo di, si es necesario)oico–>ácido 4-cloropent-4-en-2-inoico
- Si es una hidrocarburo de cadena cerrada con enlaces múltiples, radicales y uno o varios grupos hidroxilos:

1)Se enumera de tal forma que los grupos carboxilos tengan la menor posición posible.
2) nombrar: posición de radicales+radical+nombre del hidrocarburo de cadena cerrada+ posición de dobles enlaces+(di,tri,tetra…)eno+posición de los grupos carboxilos (si hay más de uno)+(di,tri,tetra…)carboxílicos
ácido 2-metilciclopent-4-en-1,3-dicarboxílico
- Benceno con grupos carboxilos.

ácido benzoico o ácido bencenocarboxílico

acido 5-metilbenceno-1,3-dicarboxílico
Formular ácidos carboxílicos:
Lo vamos a ver con un ejemplo.
¿Cómo se formula el siguiente compuesto? 3,4-dimetilpent-2,4-dienoico
1)dibuja la cadena carbonada.
2)posiciona el grupo carboxilo, los dobles enlaces y radicales.
3)completa con hidrógenos

Ésteres
El grupo funcional de los ésteres es
Donde R es un radical arílico o alquílico, es decir, una cadena carbonada abierta o cerrada.
No se tiene que indicar la posición de este grupo porque siempre tendrá una posición muy concreta.
Se obtienen de la reacción entre un ácido carboxílico y un alcohol, reacción llamada esterificación:

Se nombran a partir del nombre del ácido del que proceden cambiando la terminación -oico por la de -oato , seguido del nombre del radical R´ terminado en o.
Para nombrar:
- La cadena principal contiene el grupo éster.
- Se nombrar por un lado la parte que procede del ácido carboxílico (siguiendo las reglas que ya se han explicado en la sección anterior) y por otro lado se nombra el radical (siguiendo las reglas para nombrar los radicales de los Hidrocarburos de cadena abierta).
- El carbono 1 en el caso de la cadena que procede del ácido carboxílico es el carbono que pertenece al grupo éster y en el caso del radical el carbono 1 será el que esté pegado al grupo éster.

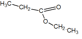
Propanoato de etilo

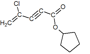
4-cloropent-4-en-2-inoato de ciclopentilo (este éster procede de un ácido carboxílico de la sección anterior, ve a echar un vistazo si tienes dudas al nombrarlo)

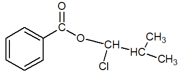
Benzoato de (1-cloro-2metil)propilo
Ejercicios resueltos
1.
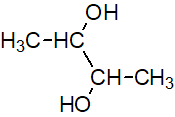
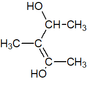
3-metil-2-penten-2,4-diol
2.
4-cloro-6-metil-1,3-dihidroxibenceno ó 4-cloro-6-metil-1,3-bencenodiol
3.
ácido 4-bromo-5-clorobencenocarboxílico ó ácido 4-bromo-5-clorobenzenoico
4.
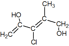
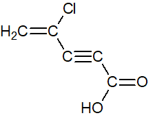
5-clorociclopent-3-enoato de (3-bromo-5-metil)ciclohexilo
5.
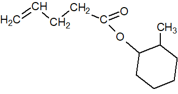
4-propenoato de (2-metil)ciclohexilo
6.
Ácido p-bencenodicarboxílico

