¡Hola!
¿Qué tal estás? Espero que hayas disfrutado mucho durante el mes de agosto. Como te prometí, aquí estoy de nuevo con las explicaciones en vídeo y texto. Hoy vamos a comenzar con el tema de cinética química. En concreto, vamos a ver cómo se calcula la velocidad de reacción.
La explicación se divide en:
- Significado de la velocidad de reacción
- Ecuación de la velocidad
- Mecanismos de una reacción
- Ejercicios resueltos
Significado de la velocidad de reacción
Una reacción química tiene lugar si está favorecida termodinámicamente y, además, es necesario que se de a una velocidad suficiente.
En una reacción química los reactivos desaparecen progresivamente en el transcurso de la reacción, mientras los productos aparecen. La velocidad de reacción permite medir cómo varían las cantidades de reactivos y productos a lo largo del tiempo. Utilizando la concentración como medida de la cantidad de sustancia se define la velocidad de reacción como la variación de concentración de reactivo o producto por unidad de tiempo.
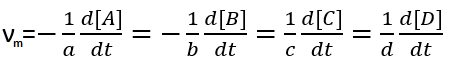
Para una reacción genérica expresada por:
aA+bB→ cC+dD
Por definición, la velocidad de A y B sería:

De forma gráfica, la velocidad de una reacción en un instante t dado es igual a la pendiente de la recta tangente a la curva concentración-tiempo, en el punto correspondiente a ese instante.
En el gráfico la velocidad de los reactivos, supongamos el reactivo A, en el tiempo t sería la pendiente de la recta tangente a la curva en ese instante t.

Además, la velocidad media de la reacción se calcula de la siguiente manera:

O también se puede expresar la velocidad media en incrementos:

Las unidades de la velocidad de reacción son mol·L-1s-1.
Si se trata de una reacción reversible (como la que se muestra en la figura anterior) las concentraciones de los reactivos y los productos y las velocidades directa e inversa varían. Hasta que llega un momento que se alcanza el equilibrio en el que las velocidades directa e inversa son las mismas y las concentraciones de reactivos y productos y las velocidades directa e inversa se mantienen constantes.
Sin embargo, si se trata de una reacción irreversible (como la que se muestra en la siguiente figura) la concentración de los reactivos (A) disminuye y la concentración de los productos (P) aumenta. Hasta que llega un momento en el que se ha consumido todo el reactivo (A), a partir del cual ya no se vuelve a dar la reacción.

Ecuación de la velocidad
La velocidad de reacción se obtiene experimentalmente. A partir de las velocidades iniciales de reacción para los reactivos y variando sus concentraciones iniciales, se puede determinar la expresión matemática que relaciona la velocidad con las concentraciones. A esta expresión se le conoce como ley diferencial de velocidad o ecuación de velocidad.
ν=k [A]α [B]β
Los exponentes α y β se denominan órdenes parciales de reacción. La suma α + β se llama orden total de reacción.
En las reacciones elementales, transcurren en una sola etapa, α y β coinciden con los coeficientes
estequiométricos. Sin embargo, en las reacciones que transcurren en varias etapas esto no ocurre y deben determinarse experimentalmente.
La constante k se denomina constante de velocidad. Su valor es característico de cada reacción y depende de la temperatura de reacción. Las unidades de la constante deben deducirse de la expresión experimental obtenida para la velocidad de reacción.
Mecanismos de una reacción
Se llama mecanismo de reacción al proceso a través del cual transcurre una reacción.
Una reacción es elemental cuando el transcurso de la misma puede representarse mediante una sola ecuación estequiométrica, es decir, se realiza en una sola etapa.
A + B → AB
Una reacción es compleja cuando transcurre en varias etapas.
Así, por ejemplo, para la reacción global
A + 2B → AB2
Si transcurre en dos etapas, que podrían estar representadas por:
A + B → AB 1ª etapa
AB + B → AB2 2ª etapa
La ecuación de velocidad depende de las etapas que intervienen en el proceso.
Se denomina molecularidad al número de moléculas que intervienen en una etapa. Como ya hemos explicado anteriormente, la molecularidad de una reacción elemental coincide con el orden total.
Por ejemplo, la siguiente reacción es elemental:
2 NO+ O2 → 2NO2 ν=k [NO]2 [O2]
Los coeficientes estequiométricos coinciden con los órdenes parciales (molecularidad=órdenes parciales).
Otro ejemplo, la oxidación del bromuro de hidrógeno se trata de un mecanismo en varias etapas:
4 HBr(g) + O2(g) → 2 Br2(g) + 2 H2O(g)
Consta de las siguientes etapas:
HBr + O2 → HBrOO lenta
HBrOO + HBr → 2 HBrO rápida
2(HBrO + HBr → H2O + Br2) rápida
La etapa más lenta es la primera y es la que determina la velocidad de la reacción global. Si se suman todas las etapas da lugar a la reacción global.
La ecuación de velocidad se determinó experimentalmente y es:
v= k [HBr] [O2]
Ejercicios resueltos



